The Nighttime Visit
A Case Study in Literary Analysis
This is part four of a multipart series.
I came across this famous passage in the Gospel of John recently, and I noticed a seam in it — a shift in the text where two separate passages have been edited together. See if you can spot it, but don’t fuss over it, because we’ll be discussing it at length below. It makes a good illustrative example of some of the major points we discussed in our previous essay. I read from the Hart translation, as usual. I’ll be putting in verse numbers this time, since I will be referring to specific verses. Here’s John 3:1-21, a story known as the nighttime visit:
¹Now there was a man, one of the Pharisees, whose name was Nicodemus, a ruler of the Judaeans; ²This man came to him at night and said to him, “Rabbi, we know that you have come as a teacher from God; for no one can produce these signs you perform unless God is with him.” ³In reply Jesus said to him, “Amen, amen, I tell you, unless someone is born from above, he cannot see the Kingdom of God.” ⁴Nicodemus says to him, “How can a man be born when he is old?” ⁵Jesus replied, “Amen, amen, I tell you, unless a man is born of water and spirit, he cannot enter into the Kingdom of God. ⁶That which is born of flesh is flesh, and that which is born of the Spirit is spirit. ⁷Do not be amazed because I have told you it is necessary for you to be born from above. ⁸The spirit respires where it will, and you hear it sound but you do not know where it comes from or where it goes; such is everyone born of the Spirit.” ⁹Nicodemus answered and said to him, “How can this happen?” ¹⁰Jesus replied and said to him, “You are a teacher of Israel and you do not know these things? ¹¹Amen, amen, I tell you that we speak of what we know and bear witness to what we have seen, and you people do not accept our witness. ¹²If you do not believe what I have told you of the things upon the earth, how will you believe if I tell you of things in heaven? ¹³And no one has gone up into heaven except the one who has come down from heaven, the Son of Man. ¹⁴And, just as Moses lifted up the serpent in the desert, so it is necessary for the Son of Man to be lifted up, ¹⁵That everyone having faith in him might have the life of the Age. ¹⁶For God so loved the cosmos as to give the Son, the only one, so that everyone having faith in him might not perish, but have the life of the Age. ¹⁷For God sent the Son into the cosmos not that he might pass judgement on the cosmos, but that the cosmos might be saved through him. ¹⁸Whoever has faith in him is not judged; whoever has not had faith has already been judged because he has not had faith in the name of the only Son of God. ¹⁹And this is the judgement: that the light has come into the cosmos, and men loved the darkness rather than the light; for their deeds were wicked. ²⁰For everyone who does evil things hates the light and does not approach the light, for fear his deeds will be exposed; ²¹But whoever acts in truth approaches the light, so that his deeds might be made manifest — that they have been worked in God.”
Some of the language here may be a bit different from what you are used to, because the translator takes care to retain as close as possible the meaning from the original Greek text. For example, in verse 3, the Greek γεννηθῇ ἄνωθεν, typically translated as “born again,” is more literally translated as “born from above.” In Greek thought, origins and sources were conceptualized as being “above” — headwaters are upstream, ancestors sit atop genealogies, and the divine source of all things is in the heavens. So “from above” naturally extends to mean “from the origin” or “from the beginning,” and from there to “anew” or “again.” This ambiguity is central to the passage: Nicodemus hears “born again” and wonders how one can re-enter the womb, while Jesus means “born from above” — a spiritual birth from God.
As you can see, the standard translation is not inaccurate, but it loses a potentially important point of nuance. This is why I prefer to read a literal translation: you get more out of it, closer to the original meaning. Referring back to the original Greek is often very useful too. It’s easy to find interlinear texts online, such as the one for this verse found on Bible Hub.
➧AJH #7➧ For textual analysis, prefer a literal translation to a looser translation such as the NIV. Refer back to the original text for passages that are particularly interesting to you, or in cases where the precise meanings of the words are important.
The seam falls between verses 10 and 11. In verse 10, Jesus says to Nicodemus, “You are a teacher of Israel and you do not know these things?” This is recognizable dialogue — a pointed question directed at a specific person. But then verse 11 begins: “Amen, amen, I tell you that we speak of what we know and bear witness to what we have seen, and you people do not accept our witness.”
I first noticed something interesting here while listening to a gospel reading at church. The conversation had been moving along — Nicodemus asks a question, Jesus answers, Nicodemus asks another — and then suddenly the voice changed. It was no longer a rabbi talking to a curious Pharisee. It became a sermon. And not just any sermon, but one I recognized immediately: the distinctive high christology of John’s second author, with its talk of light and darkness, the cosmos, judgment, and eternal life.
Several features mark this transition. First, the dialogue simply stops. Nicodemus disappears from the text without a word — no response, no departure, nothing. He asks “How can this happen?” and is never heard from again. Second, Jesus switches from singular “you” (addressing Nicodemus) to plural “you people” and from “I” to “we.” Who is “we”? Who are “you people”? This plural voice sounds less like Jesus speaking to one man at night and more like a community defending its testimony against outsiders. Third, the theological vocabulary shifts dramatically. The first ten verses center on birth, spirit, and the kingdom of God. From verse 11 onward, we encounter the cosmos, light versus darkness, judgment, and “the life of the Age” — the signature themes of Johannine theology that appear throughout the Gospel’s editorial layer.
The effect, once you notice it, is jarring. We have moved from a story into a theological treatise.
As we discussed in the previous essay, the first twelve chapters of John originated in the Signs Gospel, though later editions modified them in various ways — most commonly by addition. The passage before the seam bears the marks of this earliest layer. In verse 2, Nicodemus says to Jesus, “no one can produce these signs you perform unless God is with him.” The word “signs” here is significant. The Signs Gospel was organized around seven miraculous signs performed by Jesus, presented as evidence that he was the Anointed One, the Son of God. This reference to signs in the opening of the Nicodemus episode ties it to that source.

What makes this passage unusual, though, is that it is not itself a sign. The Signs Gospel is mostly a collection of miracle stories — water into wine, healing the blind, raising Lazarus. The Nicodemus dialogue is something different: a theological conversation with a Pharisee who comes seeking understanding. The author apparently found this story compelling enough to include even though it didn’t fit the pattern. Why? Perhaps because Nicodemus was a real person, a member of the Sanhedrin, whose nighttime visit was remembered in the community. This may — or may not — add to the likelihood that we are dealing with historical memory here. We cannot know for certain.
What we can say with confidence is that the material after the seam is not the voice of Jesus. The shift to “we speak” and “you people,” the dense theological exposition about light and darkness and judgment, the soaring proclamation that “God so loved the cosmos” — this is the language of the Johannine community reflecting on its faith, not a rabbi explaining rebirth to a puzzled Pharisee. By the criteria we established in AJH #5 and #6, this later material tells us about the theology of the Second Edition authors, not about what Jesus actually said.
Beyond these qualitative observations, we can also examine the text quantitatively. One metric that scholars use to help distinguish authorship is word length. Different authors tend to have characteristic patterns in how long their words are — a stylistic fingerprint that operates below conscious awareness.
When we compare the two halves of this passage, we find a measurable difference. John 3:1–10 has an average word length of 4.98 letters, while John 3:11–21 averages 4.33 letters per word. A statistical test yields a t-statistic of 2.54 and a p-value of 0.0114. In plain terms, if both passages came from the same source, there would be only about a 1% chance of seeing a difference this large by random variation alone.
This is not proof of different authorship. The two sections could have different word lengths for many reasons: the dialogue section includes proper names like Nicodemus, Pharisees, and Judaeans; it repeats longer technical terms like “born from above” and “kingdom of God”; the shift from narrative to exposition changes sentence structure. Any of these factors — names, repeated vocabulary, rhetorical purpose — could account for the difference without invoking a second author.
What the statistical analysis does provide is supporting evidence. It tells us that the qualitative shift we noticed — from dialogue to sermon, from Signs Gospel voice to Second Edition theology — is accompanied by a measurable change in the texture of the prose. The numbers do not prove our hypothesis, but they are consistent with it.
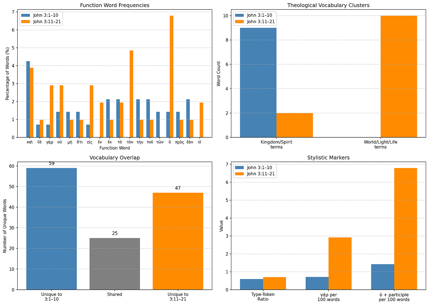
We can push this analysis further. The chart below presents four additional comparisons between the two halves of our passage.
Function Word Frequencies (top left). Function words are the small, grammatically necessary words that hold sentences together — articles, conjunctions, particles. Because writers use them unconsciously, they tend to be stable markers of individual style. Here we see some variation between the two passages, but a chi-square test yields p = 0.205, which is not statistically significant. The overall distribution of function words does not differ enough to rule out chance.
Theological Vocabulary Clusters (top right). This is where things get interesting. I grouped key theological terms into two clusters: “Kingdom/Spirit” terms (βασιλεία, πνεῦμα, and related words) versus “World/Light/Life” terms (κόσμος, φῶς, ζωὴν αἰώνιον, κρίσις). The two passages use almost entirely non-overlapping vocabularies. The first ten verses speak of the kingdom of God, birth, and spirit. From verse 11 onward, we encounter the cosmos, light versus darkness, eternal life, and judgment — the signature themes of Johannine high christology. A Fisher’s exact test yields p = 0.0002, with an infinite odds ratio because there is zero overlap in the expected direction. This is a striking result.
Vocabulary Overlap (bottom left). Of all the unique words in these two passages, only 25 appear in both. Fifty-nine words appear only in verses 1–10, and forty-seven appear only in verses 11–21. For two passages supposedly spoken by the same person in the same conversation, this is remarkably little shared vocabulary.
Stylistic Markers (bottom right). Three additional metrics: the type-token ratio (a measure of vocabulary diversity), the frequency of γάρ (an explanatory particle meaning “for”), and the frequency of the nominative article ὁ. The second passage uses ὁ far more often (p = 0.038), reflecting constructions like ὁ πιστεύων — “the one believing” — which generalize about categories of people. This is characteristic of theological discourse rather than dialogue.
How should we interpret all this? Stylometric analysis — the statistical study of writing style — is a well-established tool in literary scholarship, used to investigate authorship disputes from the Federalist Papers to the letters of Paul. But it works best with large samples, typically thousands of words. With only about a hundred words per passage, we are at the limits of what these methods can reliably detect. A single significant result could easily be noise.
What makes these findings meaningful is their convergence with our qualitative observations. The theological vocabulary shift, the low vocabulary overlap, the increased use of generalizing constructions — all of these align with what we already noticed by reading carefully: that the voice changes at verse 11, from a rabbi in dialogue to a theologian delivering a sermon. The statistics do not prove different authorship, but they add weight to the case. When multiple independent lines of evidence point in the same direction, we can have greater confidence that we are seeing something real.
This passage offers a good example of how to apply the tools of literary analysis to questions of authorship, and from there, to questions of historicity. We noticed a seam, identified markers of different editorial layers, and tested our intuition with quantitative analysis. The numbers supported what careful reading suggested: the voice changes at verse 11.
What does this mean for the historical Jesus? John 3:16 — perhaps the most famous verse in the entire New Testament — is almost certainly not something Jesus ever said. It belongs to the Second Edition, reflecting the developed christology of the Johannine community decades after Jesus’s death.
The “born from above” saying, on the other hand, sits in the earlier Signs Gospel stratum. It is not a miracle story but a theological conversation between two rabbis — the kind of exchange that would have been memorable precisely because it was substantive. If we are looking for material in John that has a chance of reflecting something Jesus actually said, this is about as good a candidate as we are likely to find.




